使用模拟滤波器注入噪声
使用模拟滤波器注入噪声
通过减少您滤波器的电阻值来修改您的电路设计会增加电路的无噪声位。
作者:Bonnie Baker,德州仪器 (TI) 高级应用工程师
有时候,事情根本没有意义!例如,您 Δ-Σ ADC 输入端 RC 滤波器或放大器的低通滤波器会产生更大噪声的数字输出。难道您没有设计过降低噪声的滤波器来让您从转换器获得更多而非更少的无噪声位吗?通过一个模拟低通滤波器消除更高频率噪声,同将噪声注入到您滤波器截止频率以下的频带一样容易。如果您的滤波器在相关频带中产生噪声,那么相比您的预期,您的转换输出结果噪声会更大。
如果您通过减少您滤波器的电阻值来修改您的电路设计,那么您会增加电路的无噪声位。

图 1
例如,图 1 所示 Δ-Σ ADC 使用一个低通滤波器来降低转换器输出数据速率以上的噪声,即 FD。利用这种滤波器后,使用 Δ-Σ 转换器的输出数据速率来选择该电路的电阻和电容值。您可以使用公式 FD=1/(2πRFLT×CFLT),来计算 RFLT(滤波器电阻)和 CFLT(滤波器电容)的值。RFLT/2 和 CFLT 的组合开始生效时(请参见参考文献 1),该滤波器通过限定 (target) 转换器的采样频率来降低噪声。
该设计公式中缺少的细节是电阻噪声。不存在无噪电阻这样的东西。理想电阻噪声情况是:k 为波尔兹曼常数(1.38×10–23×JK–1),T 为开尔文温标 (Kelvin)温度,R 为 25°C 条件下欧姆单位的额定电阻,而 B 为以赫兹为单位的相关带宽。
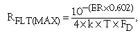
现在,让我们来搞清楚电阻噪声公式是怎么一回事。您注入到您电路的噪声达到输出数据速率,其等于电阻噪声。要确定这种电路的较大允许电阻值,请使用下列方程式:

图 1 描述了该公式的特征,其中 ER 为 ADC 厂商产品说明书的规定有效精度。如果您在 200 Hz 数据速率下运行您的 23-bit 有效精度 Δ-Σ 转换器,则滤波器电阻的较大值为 4.297 kΩ 或者更低,而 RFLT/2 为 2.148 kΩ 或者更低。
作者简介
Bonnie Baker 现任 TI 高级应用工程师,并撰写了 Baker’s Dozen:数字设计人员真正的模拟解决方案。
参考文献
《没有意义的 13 件事情》,作者:Brooks, Michael,《新科学家》, 2005 年 3 月 19 日。
《模拟滤波器简化 Δ-Σ 转换器设计》,作者:Baker, Bonnie,EDN,2008 年 6 月 12 日,第 24 页。
相关阅读:
- ...2010/03/19 13:29·使用模拟滤波器注入噪声
- ...2009/09/01 13:54·使用模块设计高可靠电源的考虑
- ...· Efinix® 全力驱动AI边缘计算,成功推出Trion™ T20 FPGA样品, 同时将产品扩展到二十万逻辑单元的T200 FPGA
- ...· 英飞凌亮相进博会,引领智慧新生活
- ...· 三电产品开发及测试研讨会北汽新能源专场成功举行
- ...· Manz亚智科技跨入半导体领域 为面板级扇出型封装提供化学湿制程、涂布及激光应用等生产设备解决方案
- ...· 中电瑞华BITRODE动力电池测试系统顺利交付北汽新能源
- ...· 中电瑞华FTF系列电池测试系统中标北京新能源汽车股份有限公司
- ...· 中电瑞华大功率高压能源反馈式负载系统成功交付中电熊猫
- ...· 中电瑞华国际在电动汽车及关键部件测评研讨会上演绎先进测评技术
- ...· 华芯微国产汽车芯片门电路系列(篇一)
- ...· 华芯微国产汽车芯片CAN收发器系列(篇一)
- ...· 华芯微国产汽车芯片DC/DC转换器系列
- ...· 华芯微国产汽车芯片DC/DC转换器系列
- ...· 华芯微国产汽车芯片运算放大器系列(篇一)
- ...· 华芯微国产汽车芯片MOSFET 驱动器系列(篇一)
- ...· 数据采集终端系统设备
- ...· 简仪科技踏上新征程








