基带信号QPSK调制与脉冲成型滤波器ASIC实现
0 引言
通常情况下,带通信号可以借由相对应的基带信号表示,比如若使用Sm表示一个实的带通信号,则该带通信号可以表示为如下情况:
![]()
其中Sl(t)为带通信号S(t)相对应的基带信号。一般情况下,信号Sl(t)是一个复值信号,由对应的实部与虚部构成,也即I路与Q路数据。并且我们也可以证明对于一个带通系统函数,我们也有与之相对应的基带系统函数。
![]()
因此,现代基带处理器也采用类似的方法首先处理处于基带的数字数据,然后通过模拟基带完成D/A转化后,再发送给射频器件完成上变频与信号发射。图1表示了WCDMA R-6协议中上下行方向上信号处理的过程。

从图中我们可以发现在数字基带处理器首先接收上层单元传送的bit数据流,然后对一组数据按某种规则进行映射,将bit流映射为符号。比如QPSK或者QAM等等。单独的数字信号无法在带通信道中传输,而且对于WCDMA而言,带通信号大约占用5MHz的带宽,不然就会对相邻的工作频点产生干扰,导致系统的总体性能下降。所以完成数据流到符号的转换后,仍然需要通过成型滤波器降低信号的带宽。
按照WCDMA协议,首先采用QPSK调制方式形成符号,然后再通过根升余弦滤波器处理,形成协议规定的基带信号。下文简要介绍原理,然后给出相应的ASIC设计。
1 基带信号QPSK调制原理简介与ASIC设计
QPSK调制属于相位调制的一种。因此由上文提到的带通信号一般表达式可知:
![]()
基带信号调制就是将bit数据转化成了符号坐标[cos2π(m-1)/M,sin2π(m-1/M)],其中g(t)为基带脉冲成型后的信号,在成型滤波中介绍。
按照WCDMA 25.213 R-6协议规定,上行方向上对于码片采用π/4QPSK的调制方式,将二进制码片转换为符号。首先在高层传送的二进制数据包经过各种其它处理,如分段、打孔、交织、Turbo编码、扩频与加扰处理后,形成码片,其速率达到3.84Mchip/s。一般对WCDMA基带处理器而言,采用16倍的主时钟对数字信号进行处理,即每16个clk对应一个码片,每个码片进行4个样点的采样,4个clk对应一个采样。π/4QPSK星座图如图2所示。

上图中由于ASIC设计中定点化的需要,我们将1映射为1464即12’h5a8,而0映射为-1464即12’ha58。其ASIC设计如图3所示。

输入信号为1bit数据流,每隔4个clk计数器产生使能信号,进行数据流与符号之间的转换运算。如此便形成了调制后的基带信号。数字信号无法在带通行道中传输,所以还需要成型滤波器对减少信号的ISI与控制信号带宽。即在上文中提到的g(t)。
2 成型滤波器
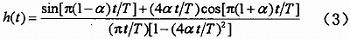
在带限信道传输数据时,相邻符号间会产生符号间干扰。采用合适的成型滤波器可以有效地减小符号间干扰。按3GPP协议中规定,对于QPSK调制,采用升余弦脉冲成型滤波器。RC滤波器可以有效减小符号间串扰ISI,有效地减少信息传输的带宽。同时也是QPSK调制信号成形滤波器,滚降系数a=0.22,调制后信号带宽为(1+a)/2T,其中T≈0.26042μs,计算后可得其基带信号有效带宽约为4.6847MHz,协议规定为5MHz。下面给出升余弦脉冲成型滤波器的频率域函数。此函数是连续的,但是数字基带滤波器输出的是离散的数字信号,所以下面我们要将升余弦脉冲成型滤波器转换为数字滤波器的形式。

在进行转换之前,考虑到匹配滤波的情况,我们还可以进一步将该升余弦脉冲成型滤波器变换为两个根升余弦脉冲成型滤波器。并且将其放置于发射机与接收机。根升余弦脉冲成型滤波器的形式如下:

通过软件仿真我们可以发现其频率幅度响应如图6所示。

由图6我们可以发现离散信号在数字频率域上的幅度响应范围得到了一定的控制。再通过Fourier反变换,我们可以得其时域响应:
![]()
该时域表达式对于时间轴对称,所以物理无法实现,故需要引入一定相位延迟,并且考虑到对于时时通讯而言,线性相位具有非常重要的意义,所以我们可以采用FIR结构实现根升余弦脉冲成型滤波器,采用冲击响应不变法,我们可以获得根升余弦脉冲成型滤波器的时域离散值;图7根升余弦成型滤波器时间离散域幅度。

上图中为了保证滤波器性能,我们采用了65阶滤波器设计,因此我们只需要引入32个clk的延迟,就可以形成FIR形式的滤波器。并且因为是低通滤波器,我们采用基数阶的系数。所以可得下式:

由上式我们发现FIR结构滤波器系数,我们采用如下的结构实现根升余弦成犁滤波器的ASIC设计:

由于FIR滤波器特有的线性相位特性,使得其前后滤波系数对称。所以可以节约乘法器资源,减小资源。所以我们可以先将乘法系数相同的信号先相加,然后再与乘法系数相乘。
其输入输出时序图如图9所示。

3 结论
本文简要分析了WCDMA协议上行调制方向的数据处理方式与原理,然后给出了ASIC电路的实现。具有一定的理论参考价值和很强的实用性。在根升余弦成型滤波器中引入了延迟,使得根升余弦成型滤波器可以物理实现,并且采用了FIR结构可以有效地减少芯片资源的占用。
相关阅读:
- ...· Efinix® 全力驱动AI边缘计算,成功推出Trion™ T20 FPGA样品, 同时将产品扩展到二十万逻辑单元的T200 FPGA
- ...· 英飞凌亮相进博会,引领智慧新生活
- ...· 三电产品开发及测试研讨会北汽新能源专场成功举行
- ...· Manz亚智科技跨入半导体领域 为面板级扇出型封装提供化学湿制程、涂布及激光应用等生产设备解决方案
- ...· 中电瑞华BITRODE动力电池测试系统顺利交付北汽新能源
- ...· 中电瑞华FTF系列电池测试系统中标北京新能源汽车股份有限公司
- ...· 中电瑞华大功率高压能源反馈式负载系统成功交付中电熊猫
- ...· 中电瑞华国际在电动汽车及关键部件测评研讨会上演绎先进测评技术
- ...· 华芯微国产汽车芯片门电路系列(篇一)
- ...· 华芯微国产汽车芯片CAN收发器系列(篇一)
- ...· 华芯微国产汽车芯片DC/DC转换器系列
- ...· 华芯微国产汽车芯片DC/DC转换器系列
- ...· 华芯微国产汽车芯片运算放大器系列(篇一)
- ...· 华芯微国产汽车芯片MOSFET 驱动器系列(篇一)
- ...· 数据采集终端系统设备
- ...· 简仪科技踏上新征程








