一种全集成型CMOS LDO线性稳压器设计[图]
随着便携式电子设备的广泛使用,系统集成度越来越高。对于数/模混合的片上系统中,数字电路对模拟电路的干扰加大,因此模拟电路与数字电路需要施加独立电源,以减小数/模混合带来的相互干扰以及动态调整功耗。全集成型LDO线性稳压器可以用来为系统中各子模块单独供电,具有抑制电源噪声,减小干扰,同时消除键合线电感引入的瞬态脉冲的优点,此外还可以减小片外器件和芯片引脚,所以全集成型LDO线性稳压器成为片上系统(SoC)型集成电路中不可或缺的模块。由于LDO的负载电流变化大,且调整管尺寸较大,为满足LDO的稳定性要求,必须对LDO进行频率补偿。传统方法是利用负载电容的ESR进行补偿,但是,全集成型LDO不允许使用片外电容,因此设计一个不需片外电容,稳定,响应速度快的LDO是面临的主要挑战。
1 LDO原理与频率补偿
LDO线性稳压器的传统电路结构如图1所示,由误差放大器,缓冲器,调整管M0,分压电阻RF1,RF2,以及片外滤波电容C0和其寄生的等效串联电阻RESR组成。片外电容C0和RESR组成的零点用来抵消LDO中第2个极点,从而达到环路稳定。当没有片外电容补偿时,由于输出负载电流变化大,LDO的输出极点变化大,环路稳定性设计变得困难。Leung提出了衰减系数控制频率补偿法(Damping Factor Control Compen-sation,DFC)和引入零点补偿,在稳定性,响应时间方面具有较好的特性。Milliken采用在调整管的输入端和输出端之间加入一个微分器,将调整管输入节点和输出节点的2个极点分离,从而在只使用片内电容时依然保持稳定。Kwok使用动态密勒电容补偿技术,通过串联一个在线性区工作的PMOS管作为动态可调电阻,在误差放大器的输出端引入一个动态零点抵消LDO的输出极点,实现系统稳定。本文中则采用在负载端引入零点,补偿误差放大器输出极点的方法,避免了为补偿LDO输出极点,而需要大电容和动态调整电阻的要求,且减小了需要的补偿电容值,降低了芯片面积。

2 电路设计
图2为所设计的LDO线性稳压器电路,误差放大器为折叠式共源共栅结构,由M1~M14组成,M0为输出调整管,反馈网络由RF1,RF2和CF1组成,电容Cc为误差放大器的补偿电容。
图2中电阻电容反馈网络的传输函数为:

这种反馈网络产生了一个零点zf和一个较高的极点pf,设置极点pf大于单位增益频率,即RF2//RF1>1/(CF1·pf)。
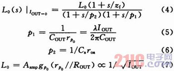
不施加片外电容时,LDO的传输函数为:

式中:Ca,roa为分别误差放大器输出a端的寄生电容和输出电阻;gp0,rp0分别为调整管M0的跨导和小信号输出电阻;Aamp为误差放大器的增益。由式(7)增益L0随着负载电流增大而降低,而极点p1随负载电流增大而升高,极点p2基本保持不变,对于不施加片外电容,其等效串联电阻RESR所提供的零点不存在,在输出负载电流IOUT=0时,调整管输出电阻rp0较大,gmp0较小,故小负载电流时,环路稳定性变差。为满足LDO稳定性要求,IOUT必须有一个较小输出电流,以保证M0的输出极点P1不会太低。为保证极点P2和零点zf相近而抵消,须适当减小调整管M0尺寸。在本应用中,LDO输入电压为2.5V,用于为1.2V核心电路供电,调整管M0的VDS=1.3V,所以M0可以取较小尺寸。

本设计采用了一阶温度补偿带隙基准电压源,图4所示为带隙基准电压源的核心电路,这里采用了典型的一阶温度补偿电流模结构。其中M1,M2和M3宽长比相同,R1=R2,A0为误差放大器,误差放大器的同相端接Va端,反相端接Vb端。为了保证电路的稳定性,必须保证电路中由M1,Q1和R1组成的正反馈网络的反馈系数小于M2,R2,Q0和R0组成的负反馈网络的反馈系数,即要求:

运算放大器A0使Va,Vb两点电压相等,忽略电阻的温度系数,电流I0为PTAT电流,I1为CTAT电流。通过选择
,可以得到-40~+85℃范围内温度系数小于4.76ppm/℃。

3 仿真验证
该电路采用SMIC 0.25μm CMOS工艺实现,输入电源电压为2.5V,输出电压为1.2V,作为芯片模拟部分的电源。LDO的环路稳定性采用Spectre stb仿真,结果如图5所示,负载电流从1mA变化到100mA,整个系统相位裕度均在40°以上,系统稳定。图6为负载电流从1mA到100mA转换时,输出电压和输出电流瞬态响应曲线。从图中可以看出,瞬态响应过冲小于20mV,无振铃现象产生。图6为仿真的电源电压抑制比(PSRR)。低频时PSRR好于75dB。整个LDO包括基准电压源共消耗静态电流390μA。

4 结语
本文设计了一种全集成型LDO线性稳压器,采用一种简单的频率补偿电路,通过输出反馈电路引入零点,抵消了LDO产生第二个极点,获得较好的稳定性。此方法结构简单、不损失环路开环增益、带宽高,而且所需要的补偿电容小,节省芯片面积和输出引脚。
相关阅读:
- ...2011/10/20 14:22·一种全桥式非隔离光伏并网逆变器
- ...· Efinix® 全力驱动AI边缘计算,成功推出Trion™ T20 FPGA样品, 同时将产品扩展到二十万逻辑单元的T200 FPGA
- ...· 英飞凌亮相进博会,引领智慧新生活
- ...· 三电产品开发及测试研讨会北汽新能源专场成功举行
- ...· Manz亚智科技跨入半导体领域 为面板级扇出型封装提供化学湿制程、涂布及激光应用等生产设备解决方案
- ...· 中电瑞华BITRODE动力电池测试系统顺利交付北汽新能源
- ...· 中电瑞华FTF系列电池测试系统中标北京新能源汽车股份有限公司
- ...· 中电瑞华大功率高压能源反馈式负载系统成功交付中电熊猫
- ...· 中电瑞华国际在电动汽车及关键部件测评研讨会上演绎先进测评技术
- ...· 华芯微国产汽车芯片门电路系列(篇一)
- ...· 华芯微国产汽车芯片CAN收发器系列(篇一)
- ...· 华芯微国产汽车芯片DC/DC转换器系列
- ...· 华芯微国产汽车芯片DC/DC转换器系列
- ...· 华芯微国产汽车芯片运算放大器系列(篇一)
- ...· 华芯微国产汽车芯片MOSFET 驱动器系列(篇一)
- ...· 数据采集终端系统设备
- ...· 简仪科技踏上新征程








