有源箝位技术的PC电源设计
对于控制IC的选择,其高压输入的变换器推荐为NCP1282,低成本的可以选择UC3843+UC3714,当然也可选择UCC2893(UCC2894)或其它。
选定控制IC之后必须熟悉其外围电路元件及其基本方框电路的特性,以下是一些器件的选择及设计注意事项,供参考。
1 功率器件的选择
1.1 主功率MOSFET
一般选择VDS=(1.8~2)VINmax,这里选择800V。
通过计算,选MOS QMAIN,8~10A足够,为留一定余量,可以选11~14A,选择过大的MOS并非是较上策。在高输入电压时,导通损耗不是太大,过大的MOS驱动损耗会加大,开关速度明显变慢,会给200kHz时的ZVS带来困难。
选择MOS时不仅根据电压电流,还要在数据表中找出其Qg,RSDOX,ton,toff及Coss,并记录下来。
1.2 箝位MOS
由于变压器中磁能总量毕竟是有限的,所以箝位MOS QAUX耐压仍选800V,电流只选择QMAIN的1/3即可,但选择Qg AUX小的MOS以便减小驱动损耗,选择好以后,记下其ton,toff及Coss,RDS(on)。
1.3 同步整流MOS QF及QR的选取
由于PC工作在PFC的400V相对稳定的输入电压之后,占空比变化很小,基本控制在45~48%,所以QF及QR的电压、电流选取很相象,可统一考虑。
首先选择耐压,对于12V输出时在45%的占空比之下,选择60V MOSFET比较合适。它承受较高2.2倍的输出电压,加上开关时的尖峰电压,并取20%的安全系数,当然也可以选50V的MOSFET。若VIN变化大,则按较坏情况考虑。
对于MOS电流的选取,则主要按照导通电阻RSDON来考虑,以得到较高的整流效率,所以其IDS为输出电流的四倍以上,必要时采用几个MOSFET并联,以解决RSDON的问题。若按公式计算则要计入电感中的纹波电流。
对于占空比较大的情况,两个MOS QF及QR则要独立计算,分别选取。
1.4 输出滤波电感的计算和设计
输出滤波电感在PC电源中,经常是将12V与5V两组合在一起绕制,为了提高两输出电压的交叉调整率,还要提高它的耦合度。对输出滤波电感因其直流成份为主,不用考虑导线的超肤效应,也不要考虑用过大的感量,以选择好磁芯后将两组电感都绕下为上策。一般取:
![]()
电感磁芯的选取一般考滤MPP磁芯,它的饱和磁密B值高,工作频率高,损耗较小,因为我们是在200kHz下的ZVS工作方式。电感中的纹波电流为:
因此,考虑磁芯的饱合度时,按(Iout+2△ILO)大小的电流处理。
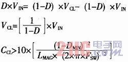
1.5 输出滤波电容的计算和设计
输出滤波电容要考虑工作频率,纹波大小,电容的ESR及ESL,由于有源箝位工作在200kHz之下,又考虑到成本,所以必须选择优质的低ESL及ESR铝电解电容,减小每个电容的容量,增加并联电容的数量,由于工作频率的提升已经比67.5kHz的方案少用一半容量的电容,因此上策是数量不变,减小单个容量,大约减一半左右。
![]()
这是较小的限定值,实际应该参照ESR、ESL大约加出50~80%,应对负载的变化,限制瞬态电压不超过3%,则有:
![]()
为了减小噪声,在电解电容的较终点要加入一支瓷片电容消除噪声,容量为10μF左右。
1.6 功率变压器的设计
功率变压器的设计计算与硬开关状态的计算方法完全一致,再测出Lm,Lr。接入电路后,先串入外部电感Lr,调好功率MOS的ZVS状态后,取下外串电感Lr,加入气隙达到与试验相同的主功率MOS的ZVS状态,记录此时变压器的Lm及Lr,以上即为设计结果。变压器的导线切记f=200kHz,而不能选择d超过0.27mm的导线。大电流时宜选择铜箔,铜箔应纵向切开缝隙减少涡流损耗。在磁芯磁密选择时考虑到200kHz频率,B值不宜超过2200高斯。
2 箝位电容MOS及相关元件的设计
变压器驱动法,IC驱动法可参考L6384的驱动设计。
对于箝位电路,核心是令变压器磁芯完全复位,使其工作在第I和第Ⅲ象限,这里主要按伏秒积考虑。

箝位电容较大时,主功率MOS耐压可以降低,箝位电容较小时,变压器复位时间较长,按工作频率及主功率MOS的波形,做较后调试决定。
3 功耗计算及效率预估
3.1 主功率及箝位MOSFET的功耗
选定主功率MOS之后,查出其RSDON,工作在ZVS状态,主要功耗为导通损耗。
![]()
但是其Coss充放电造成的谐振损耗是拿不掉的,应该计算。其计算式为:
![]()
式中,VCL为箝位电容上的电压较高值。驱动损耗的发热在驱动器部分不在MOS上。实际上因为达不到绝对的零开关损耗,实际损耗比上述计算值要大出10%左右。
箝位MOS的功耗更难于计算,可按主功率MOS功耗的30%来估算。
3.2 同步整流MOS QF的功耗
在较坏条件下,QF功耗主要为导通损耗,其次为开关损耗。
![]()

开关损耗为开启损耗及体二极管反向恢复损耗,两项加在一起可按导通损耗的50%估算。
![]()
3.3 回流MOS QR的功耗
在较坏情况下,QR的功耗主要为导通损耗及体二极管反向恢复损耗。

3.4 其它损耗
(1)功率变压器的损耗
功率变压器损耗的计算很繁锁,为简化设计按总功率的1.5~1.8%估算,其损耗来源为铜损及铁损,铜损由导线电阻造成,若是铜箔还有涡流损耗。铁损即磁芯损耗,主要为磁滞损耗及涡流损耗。
(2)输出滤波电感的损耗
输出滤波电感的损耗与变压器类似,主要是铜损及铁损,按总功率的0.5~0.8%考虑估算。
(3)输出滤波电容的损耗
输出滤波电容的损耗主要为在开关频率下的ESR、ESL以及电解电容的漏电造成,此部分开始估算时可以忽略。
(4)控制电路的功耗
控制电路的功耗包括初级的控制IC静态功耗,对主功率MOS,箝位MOS的驱动功耗,对同步整流MOS的驱动功耗,反馈放大器及光耦部分的功耗,可按0.5%的总功耗估计。
4 其它设计
4.1 PFC设计
PFC按CCM方式设计,建议选择ICE1PCS01或NCP1653。工作频率建议选为PWM的一半,若能令两者同步更为可取。主要求出升压电感L,升压二极管D,主功率MOSFET-Q的选择及功耗计算,Bulk电容的计算和选择。
对于PCB设计,由于有源箝位方式的工作频率比双晶正激电路高一倍多,所以它的PCB-Layout要给予更多的关注。可按照PFC、PWM控制IC的应用注意认真处理。
4.2 输出设计
对于5V及3.3V的输出设计,建议选择Post Regulator方案,当然按成本考虑也可以采用磁放大器:在反馈系统设计时,建议选择开环增益更高的运算放大器LM358。
相关阅读:
- ...· Efinix® 全力驱动AI边缘计算,成功推出Trion™ T20 FPGA样品, 同时将产品扩展到二十万逻辑单元的T200 FPGA
- ...· 英飞凌亮相进博会,引领智慧新生活
- ...· 三电产品开发及测试研讨会北汽新能源专场成功举行
- ...· Manz亚智科技跨入半导体领域 为面板级扇出型封装提供化学湿制程、涂布及激光应用等生产设备解决方案
- ...· 中电瑞华BITRODE动力电池测试系统顺利交付北汽新能源
- ...· 中电瑞华FTF系列电池测试系统中标北京新能源汽车股份有限公司
- ...· 中电瑞华大功率高压能源反馈式负载系统成功交付中电熊猫
- ...· 中电瑞华国际在电动汽车及关键部件测评研讨会上演绎先进测评技术
- ...· 华芯微国产汽车芯片门电路系列(篇一)
- ...· 华芯微国产汽车芯片CAN收发器系列(篇一)
- ...· 华芯微国产汽车芯片DC/DC转换器系列
- ...· 华芯微国产汽车芯片DC/DC转换器系列
- ...· 华芯微国产汽车芯片运算放大器系列(篇一)
- ...· 华芯微国产汽车芯片MOSFET 驱动器系列(篇一)
- ...· 数据采集终端系统设备
- ...· 简仪科技踏上新征程








