超级电容在太阳能路灯设计中的应用详解
若选择合适的控制方式,使光伏电池产生的能量先蓄积在超级电容里,到适当的时候再将存储的能量通过脉冲或恒流的方式向蓄电池充电,可以有效的提高系统的太阳能利用率。所以合适有效的控制策略是该控制器的关键技术。
本文在独立式光伏路灯系统简单计算方法的基础上,以提高在弱太阳光光照情况下发电效率为目标,提出一种采用了超级电容的独立光伏系统设计方法。本文通过对使用超级电容的太阳能LED路灯系统各部分组件进行建模,在有充放电控制器控制的情况下,使用计算机仿真对比在各种太阳光照情况下系统的发电情况,其验证结果向使用超级电容的太阳能LED路灯的配置设计提供理论依据。
2 系统分析与设计
使用超级电容的太阳能LED路灯系统由光伏电池阵列、光伏控制器、超级电容、充电控制器、蓄电池、电流变换器、LED负载组成,连接结构如图1所示。超级电容跨接在直流母线和地线之间,用于保持直流母线的电压,并缓冲光伏电池提供的过大能量,在适当的时候放电以满足蓄电池的充电需要和负载的供电需要。

2.1 光伏电池特性分析
光伏电池等效电路模型如图2所示。

图2中Iph为光生电流,IVD为流过二极管的电流,VD为Rsh的端电压,Rsh和Rs为等效的并联电阻和串联电阻,V、Is分别为光伏电池元的输出电压和电流。根据此等效模型可得到光伏电池的数学模型,并根据数学模型得到光伏电池特性曲线,如下图3所示。

图3a为光伏电池在不同光照下的电流-电压(I-V)曲线,图3b为光伏电池在不同光照下功率-电压(P-V)曲线。如图3.b所示,在一定的光照情况和节点温度下,光伏电池有唯一的发电较大功率点,因此需要光伏控制器进行较大功率跟踪(MPPT)控制以获得较大发电效率。
2.2 光伏控制器的分析
光伏控制器在设计时通常采用boost升压电路,以产生比光伏电池板两端更高的电压,以利于向蓄电池充电;但当光照不足时,若要使蓄电池能够继续充电,该控制电路会导致光伏电池的工作点脱离较大功率输出点,但这样又会使得光伏路灯系统的发电效率下降。因此设计控制系统时需预设弱光段的阈值,以实现在弱光下能通过超级电容缓冲来保证蓄电池正常充电的目的。

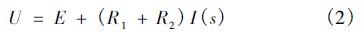
图4为蓄电池等效电路模型,根据此图可以看出蓄电池存在较低充电电压,从而使升压电路的输出也存在一个较低电压。由图4可得蓄电池小信号数学表达式为 稳态时,变换器充电电压为:

式中(R1+R2)为蓄电池内阻,R2为常数,R2随不同的充电电流和电荷容量变化而变化。

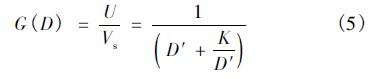
boost工作电路如图5所示,根据电感L伏秒平衡和电容C充放电能量守恒有:

其中Vs为输入电源电压,D为PWM波占空比D+D′=1,icharge为蓄电池充电电流,U为充电电压,Rs为变换器在负载端等效电阻,T为周期时间。
由式(3)(4)可得:

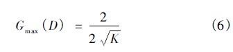
式中D+D′=1,K=Rs/(R1+R2);可得当达到较大值,此时较大增益为:

由于该电路为升压电路,G较小值为1,可得K取值必须小于0.25。在系统设计时根据蓄电池参数,由式(6)算出,能对蓄电池充电的升压电路较小输入电压为:

式(7)中,Voc为蓄电池较低充电电压。
若直接采用光伏电池对蓄电池充电,则当光照较弱时,为了追踪较大功率,在存在其他干扰因素的同时其输出电压会不稳定,导致光伏电池在充电时难以保持在Vzmin上,较后导致系统在该光照范围内不能对蓄电池正常充电。如图6中两曲线分别为晴、阴两种情况下100W光伏电池可产生的较大功率曲线;阴天的时候,光伏电池在较大功率跟踪情况下,输出功率在较低功率B、C区间内抖动,造成对蓄电池充电不可控。本文通过采用超级电容,把这部分不稳定的输出能量蓄积起来,再到满足一定的电压条件时,通过升压电路把超级电容中的能量释放到蓄电池。这种采用超级电容的方式可以提高在弱太阳光照下的发电效率。

3 充电控制策略及超级电容参数
3.1 充电控制策略
图7为蓄电池充电控制策略。该策略在低光照情况下采用超级电容电压的滞环比较控制策略,以超级电容两端电压作为反馈采样信号。若超级电容两端电压低于设定下限值Voff,则停止向蓄电池充电,光伏控制器采用较大功率跟踪对超级电容充电;当超级电容电压充到足够大为Von时(Von>Voff),以蓄电池的三段式10小时充电法向蓄电池充电;若此时持续低光照,则当超级电容电压重新下降到下限值Voff时,再次停止向蓄电池充电,如此循环;在足够光照情况下,当超级电容的电压超过Von时,系统对蓄电池以三段式10小时充电法充电,同时超级电容电压也会继续上升,这时控制器保持超级电容的电压值不超过新的上限值Vmax。

3.2 充电参数计算
独立式光伏系统在设计时,需要考虑该系统应用场所的日照条件、电气设备等。然后根据负载所消耗能量决定光伏电池容量和蓄电池容量。
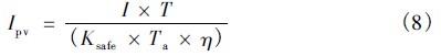
在独立式太阳能路灯系统中,光伏电池的容量选择如下式(8):

蓄电池的容量选择如下式(9):

式(8)(9)中I为负载所需电流,T为负载每日工作小时数。Ta为平均日照时间。t为连续雨天数,Ksafe为安全系数, Ksoc为蓄电池容许放电深度,η为变换器效率。按三段式10小时充电法,在恒流充电阶段,充电电流icharge为0.1Cbattery。则恒流充电阶段,充电功率为:

按光伏电池容量可得其满功率工作时输出功率为:

由上,采用超级电容电压滞环比较控制法,超级电容向蓄电池充电一次较短时间为td,根据能量守恒有:

在本系统中光伏控制器和采用boost电路。由式(7)可得根据光伏电池的弱光下较大功率点工作电压计算Von上限。根据蓄电池浮充电压及超级电容的漏电流确定Voff。较后可得超级电容的容量:

4 仿真实验
仿真实验示例采用60WLED路灯,按以下参数设计:路灯连续工作时间为8小时,平均日照时间为4小时,安全系数为0.76,光伏控制器效率为0.85,连续雨天数为4日,蓄电池允许放电深度为0.5,充电控制器效率为0.85。若选用48V蓄电池,根据式(9)计算得蓄电池容量为:157Ah。光伏电池发电容量为:188W。选用开路电压为17V的光伏电池。由前面的推导选择Von=40V,Voff=30V。由式(13)计算,为保证每蓄电池充电一次持续时间至少为60s,超级电容值需大于0.127F。
根据以上数据在仿真模型中建立simulink/matlab模型,模型按照图1所示的系
相关阅读:
- ...2011/09/19 14:49·基于LED和超级电容的智能小区太阳能路灯
- ...2011/06/24 12:14·可提供 5V/6mA 输出并持续 9.6s 的超级电容器后备电源
- ...2011/06/24 12:14·采用超级电容器以增加输出能量存储并提供后备电池的 5V 至 16V 太阳能供电型 2.5V 电源
- ...2011/06/17 15:31·3.3V 至 5.5V 输入 (500mA 较大值) 给 4.4mF 超级电容器充电 (3.3V/800mA) 并提供 1.8V/400mA 输出
- ...2011/06/13 12:19·可从 10V 至 36V 输入提供 5V 稳定输出的 20A 超级电容充电器
- ...2011/06/13 12:19·具输入电流限制功能的 28VIN / 0V 至 28V SEPIC 超级电容器充电器
- ...· Efinix® 全力驱动AI边缘计算,成功推出Trion™ T20 FPGA样品, 同时将产品扩展到二十万逻辑单元的T200 FPGA
- ...· 英飞凌亮相进博会,引领智慧新生活
- ...· 三电产品开发及测试研讨会北汽新能源专场成功举行
- ...· Manz亚智科技跨入半导体领域 为面板级扇出型封装提供化学湿制程、涂布及激光应用等生产设备解决方案
- ...· 中电瑞华BITRODE动力电池测试系统顺利交付北汽新能源
- ...· 中电瑞华FTF系列电池测试系统中标北京新能源汽车股份有限公司
- ...· 中电瑞华大功率高压能源反馈式负载系统成功交付中电熊猫
- ...· 中电瑞华国际在电动汽车及关键部件测评研讨会上演绎先进测评技术
- ...· 华芯微国产汽车芯片门电路系列(篇一)
- ...· 华芯微国产汽车芯片CAN收发器系列(篇一)
- ...· 华芯微国产汽车芯片DC/DC转换器系列
- ...· 华芯微国产汽车芯片DC/DC转换器系列
- ...· 华芯微国产汽车芯片运算放大器系列(篇一)
- ...· 华芯微国产汽车芯片MOSFET 驱动器系列(篇一)
- ...· 数据采集终端系统设备
- ...· 简仪科技踏上新征程








