超高频远距离RFID无源射频接口电路设计
1 引言
射频识别技术广泛应用于交通运输、动物识别、过程控制、物流等方面。早在1990年代,13.56MHz的射频标签就应用于社会生活的各个领域。
近年来,915MHz以及2.45GHz等UHF波段的射频标签由于工作距离远,天线尺寸小等优点越来越受到重视。射频标签芯片的射频接口模块包括电源恢复电路、稳压电路和解调整形电路。射频接口的设计直接影响到射频标签的关键性能指标。
本文对射频标签能量供应原理进行了详细的理论分析,并完成了电源恢复电路、稳压电路和解调整形电路的设计。
2 原理分析
2.1 电源恢复
无源射频标签依靠读写器发射出的电磁波获取能量。标签芯片获得的能量与很多因素都有关系,例如空间环境的反射,传播媒介的吸收系数,温度等。在理想自由空间,连续载波的情况下,有下面的近似公式:

式中,Ptag_IC是芯片接收到的能量,Preader为读写器发射功率,Gtag是标签天线增益,Greader是读写器天线增益,R为标签到读写器的距离。
可以看到,标签接收到的功率主要和距离与载波频率相关,随距离的增大迅速减小,随频率的增加而减小。PreaderRreader也称为EIRP,即等效全向发射功率。它受到国际标准约束,通常在27~36dBm左右。例如,按照北美标准,读写器等效发射功率EIRP应小于4W,即36dBm。在自由空间中,915MHz的信号在4m处衰减为43.74dB。假设标签天线增益为1.5dBi,则在4m处无源射频标签可能获得的较大功率只有约 -6.24dBm,238W。利用标准的偶极子天线,在915MHz天线端能够获得的电压约200mV。在如此低的输入信号幅度下,采用普通全波或半波整流电路无法获得所需的直流电压,因此需要采用倍压结构的电源恢复电路。
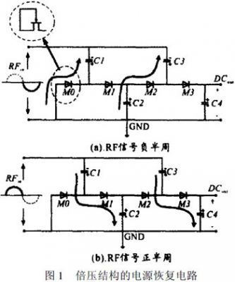
倍压结构的电源恢复电路如图1所示。图中的二极管在实际应用时通常用MOS管替代。输入正弦交流信号RFin=VAsint。在RFin负半周期时,M0导通,C1充电。C1两端能够获得的较大电压为VA-Vd,其中,Vd为MOS管M0两端的电压降。

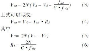
RFin正半周期时,节点1的较大电压为VA+(VA-Vd)。该电压使得M1导通,C2充电,直到C2两端达到较大电压,即节点2的较大电压,为 VA+(VA-Vd)-Vd=2(VA-Vd)。依次类推,C3两端能够获得的较大电压为3(VA-Vd),节点4的较大电压为4(VA-Vd)。节点 2N的较大电压为2N(VA-Vd)。于是,对于2N级电路,输出直流电压为:

考虑输出负载的情况。假设负载抽取电流为Iout,输入交流信号频率为fsig,所有电容值都为C,则输出电压降低2NIout/Cfsig。于是,考虑输出负载情况下的输出电压为:

2.2 稳压
在4W等效发射功率下,距读写器20cm处,采用增益1.5dBi的接收天线,标签接收到的较大功率达到95.5mW,超过标签在4m处接收到较大功率的400倍。为了保证标签在近场和远场都能够可靠工作,需要有效的稳压电路使得标签在近场能够保持电压不超过正常工作电压范围。
通常的并联式稳压结构如图2所示。当Vout大于稳压电路开启阈值时,稳压电路内的泻流管Mp开启,从泻流管泻放电流,使电压降低。

2.3 解调
本文提出的射频接口是针对满足ANSNCITS256??1999射频标签协议的标签芯片设计的。根据ANSNCITS256??1999射频标签协议规范,读写器到标签的信号为OnOffKey(OOK)调制信号。
因此,解调电路可采用二极管包络检波解调实现。
3 设计实现
3.1 电源恢复电路
根据设计指标,要在915MHz信号输入幅度200mV,负载电流20A时获得大于2V的直流电压。则根据(3)式,可得N>5。因此,所需倍压电路较低级数为12级。考虑到MOS管导通压降的损失和寄生效应带来的损失,电源恢复电路采用16级的倍压电路结构,利用零阈值NMOS管实现。倍压式电源恢复电路的末端较后一个电容为储能电容,取200pF。
3.2 稳压电路
根据设计协议要求,输入信号为OOK信号在OOK信号的关断时刻,由于图2中泻流管Mp无法瞬间关闭,于是继续从储能电容Cs上抽取电流,从而导致电源电压Vout出现较大下脉冲凹陷。为解决该问题,将并联稳压电路改进,如图3所示。泻流管Mo1和Mo2的电流抽取点从Vout端移至节点p。这样,当泻流管开启,OOK信号的关断时刻到来时,由于二极管连接的MOS管M3、M4的反向截止作用,储能电容Cs上的电荷不会从泻流管上被抽取走,从而避免了泻流管造成的电源电压下脉冲凹陷的问题。稳压电路稳压值设计在2.4V。

3.3 解调电路
解调电路如图4所示。M1~M4为4级倍压单元,起到检波二极管的作用。由于并联稳压电路的泻流管无法瞬间关断,因此,在OOK信号关断时刻,泻流管抽取电容C4上的电荷。电容C4取值较小,因此,p1点电平迅速下降,形成较大的下脉冲凹陷,经过后级的整形电路,输出标准的解调波形。

3.4 流片验证
该射频前端模块作为超高频长距离无源射频标签芯片的一部分,在UMC0.18m混合信号工艺下设计实现,并流片验证。芯片照片如图5所示。

4 测试结果
4.1 电源恢复及稳压电路测试
利用8753ES网络分析仪作为电源恢复电路激励源;中心频率设定在915MHz,扫频宽度设定为1Hz,以此来近似输出915MHz的单频载波信号。
网络分析仪测试端输出功率从-8dBm到10dBm,按照步进0.5dBm,测试各功率点驻波比SWR和电源恢复电路电压VDD。由于网络分析仪功率输出准确度较低,因此,再利用功率计,测量每个测试输出功率下网络分析仪的实际输出功率Ps。电源恢复电路的实际输入功率为:

根据Pin和VDD,绘制出反映电源恢复电路性能的输入输出特性曲线,如图6所示。

电路带200k负载,300pF储能电容。输入功率229W时,电源电压到达1.85V。稳压电路工作良好,电源电压稳定在2.3V。
4.2 解调电路测试
读写器发送1s脉宽的OOK调制信号。解调电路输出波形如图7所示。下脉冲上升时间较长是由于示波器探头引入的16pF电容所致。

5 结论
本文分析和设计了应用于超高频无源射频标签的射频接口电路,并利用0.18m工艺流片验证。
根据芯片测试结果,该射频接口电路能够在读写器4W等效发射功率下距读写器4m处为射频标签芯片提供足够的工作电压,并且在芯片近场时能够有效地稳定电源电压。解调信号基本正常可用。因此,该射频接口电路可满足超高频远距离无源射频标签芯片的要求,具有实用意义。
相关阅读:
- ...2011/09/29 16:11·超高频远距离无源射频接口电路设计方案[图]
- ...· Efinix® 全力驱动AI边缘计算,成功推出Trion™ T20 FPGA样品, 同时将产品扩展到二十万逻辑单元的T200 FPGA
- ...· 英飞凌亮相进博会,引领智慧新生活
- ...· 三电产品开发及测试研讨会北汽新能源专场成功举行
- ...· Manz亚智科技跨入半导体领域 为面板级扇出型封装提供化学湿制程、涂布及激光应用等生产设备解决方案
- ...· 中电瑞华BITRODE动力电池测试系统顺利交付北汽新能源
- ...· 中电瑞华FTF系列电池测试系统中标北京新能源汽车股份有限公司
- ...· 中电瑞华大功率高压能源反馈式负载系统成功交付中电熊猫
- ...· 中电瑞华国际在电动汽车及关键部件测评研讨会上演绎先进测评技术
- ...· 华芯微国产汽车芯片门电路系列(篇一)
- ...· 华芯微国产汽车芯片CAN收发器系列(篇一)
- ...· 华芯微国产汽车芯片DC/DC转换器系列
- ...· 华芯微国产汽车芯片DC/DC转换器系列
- ...· 华芯微国产汽车芯片运算放大器系列(篇一)
- ...· 华芯微国产汽车芯片MOSFET 驱动器系列(篇一)
- ...· 数据采集终端系统设备
- ...· 简仪科技踏上新征程








