有源纹波补偿BUCK型LED驱动电路设计
传统BUCK 电路采用LC 滤波,电路稳态工作时,输出电压由微小的纹波和较大的直流分量组成。当驱动LED 时,纹波电压将引起较大的LED 纹波电流。增大滤波电容可减小LED 的纹波电流。但是,电容容量的增大,导致电源体积和重量增加,影响电源的小型化和集成化,更重要的是,电解电容成为限制LED 驱动电源寿命的主要因素。在LED 照明应用环境下,电解电容的寿命不超过10 000 h,与LED 的长寿命( 100 000 h 左右) 难以匹配。文献分析了开关电源的平均无故障时间,指出电解电容的性能直接决定了电路的可靠性,在设计电源驱动器的时候应该有针对性地减少电解电容的使用。电解电容的有效工作寿命在很大程度上取决于环境温度以及通过等效串联阻抗的纹波电流导致的温升。温度过高致使电解电容电解质逐渐耗尽,使得其性能下降。
本文提出一种有源纹波补偿BUCK 型LED 驱动电路。该电路无需使用大容量电解电容,所需要的小容量电容可以采用能量密度较小的新型长寿命电容,利用有源补偿技术抑制输出纹波电流。由于取消电解电容的使用,可以使电路寿命增长,稳定性提高,便于集成,电路易小型化。
一、有源纹波补偿BUCK 电路
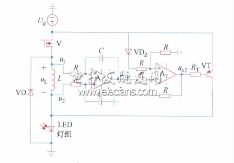
电路如图1 所示。电路结构以BUCK电路为主,取消电解电容滤波,用辅助线性电路对电感纹波电流进行补偿。图中由开关管V、电感L、LED 灯组、续流二极管VD 组成主电路; 晶体管VT 为辅助补偿电路。

图1 有源纹波补偿BUCK 电路拓扑图
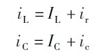
设主电路电感电流iL和晶体管VT 的集电极电流iC分别为:

式中,IL和IC分别是电感电流和的集电极电流的直流分量; ir和ic分别为它们的交流分量( 纹波电流) 。
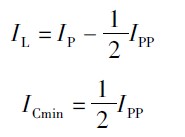
当ic = - ir时,输出电流为:
通过LED 的电流iO为恒定直流,如图2 所示,实现了对电感纹波电流的全补偿。

式中,Ip和IPP分别是电感电流的上峰值和电感纹波电流的峰峰值。

图2 电感电流补偿示意图
LED 灯组为n 个大功率LED 串联连接,UO =nUF为LED 灯组压降; UF为单个LED 的导通压降。
晶体管VT 的损耗为:
在保证晶体管VT 的集射电压大于其饱和压降( VCE≥VCES) 的条件下,调整占空比D ( 如D 取值范围为85% ~ 95%) ,可使集射电压足够小。同时,控制集电极瞬时电流iC的较小值近似为零,则IC较小。因此,晶体管VT 的损耗为较小,可提高驱动电源的效率。
二、纹波补偿的实现
1. 纹波电流检测
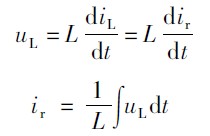
根据电感元件的电压与电流关系:

可以通过观测电感两端的电压来检测纹波电流,如图3 所示。图3 中检测电路由运算放大器A1、电阻R 及电容C 组成差分积分电路。假设各元器件均为理想元器件则:

即:


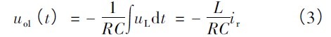
图3 纹波电流检测补偿原理图
uo1( t) 是与电感纹波电流成正比的函数,比例系数为:

A1采用单电源供电,uo1≥0,在纹波电流为正峰值时uo1 = 0 有:

式中:

所以:

2. 纹波补偿实现
由于电源电压Ud可能因外界因素波动,所以由A2组成减法电路消除因Ud变化引起的iC变化,根据电路可知:
式中,UDZ为二极管压降,其值等于PNP 晶体管VT 的射极E 与基极B 之间的压降。电路选择参数使uo1 = 0 时晶体管VT 处于微导通状态,iC≈0,晶体管VT 的补偿电流为:

将uo1代入iC:

设定比例系数为:

若选择电路元器件参数使得k = 1,则iC = - ir,实现了电感纹波电流的全补偿。
3. 输出电流计算
当k = 1 时,晶体管T 补偿电流为

电感电流为:

所以电路输出电流为:
因此,通过LED 的电流为直流,其值为IP。
三、仿真与分析
1. 仿真参数设置
采用PSIM 软件对所提出的纹波补偿电路进行仿真实验,根据以上分析,仿真参数设置如下表所示。
表1 仿真参数设置表

LED 采用欧司朗半导体照明公司生产的额定功率PW = 5 W 的大功率LED, 型号为LC—WW5AP,其导通压降为3. 0 ~ 3. 6 V,典型驱动电流为1. 4 A,灯组采用三个大功率LED 串联连接。
单个LED 仿真模型如图4 所示,其中VD 为理想二极管,VDZ为理想单向击穿二极管,RLED为LED等效串联阻抗。仿真中设定单向击穿二极管VDZ两端电压为: UD = 3. 0 V,设定等效串联阻抗为: RLED = 0. 35 Ω。

图4 大功率LED 模型图控制电路采用传统峰值电流控制,设定参考电压Ur = 10. 5 V; 电压采样系数ku = 0. 8; 电流采样系数为ki = 1; 误差放大器放大倍数设为1; 时钟频率fs = 200 kHz; 占空比为0. 1。该电路占空比D > 0. 5,需要斜坡补偿。根据斜坡补偿原则:所选定斜坡上升斜率m>-m2/2,其中m2为电感电流下降斜率。选定锯齿波幅值为0. 8 V、频率为200 kHz。
根据以上参数设置可得到电感上峰值电流为IP = 1. 4 A,输出电压UO = 10. 5 V。仿真电路图如图5 所示。

图5 仿真电路图
2. 仿真分析
电感电流波形如图6 所示,根据图6 可以看
相关阅读:
- ...· Efinix® 全力驱动AI边缘计算,成功推出Trion™ T20 FPGA样品, 同时将产品扩展到二十万逻辑单元的T200 FPGA
- ...· 英飞凌亮相进博会,引领智慧新生活
- ...· 三电产品开发及测试研讨会北汽新能源专场成功举行
- ...· Manz亚智科技跨入半导体领域 为面板级扇出型封装提供化学湿制程、涂布及激光应用等生产设备解决方案
- ...· 中电瑞华BITRODE动力电池测试系统顺利交付北汽新能源
- ...· 中电瑞华FTF系列电池测试系统中标北京新能源汽车股份有限公司
- ...· 中电瑞华大功率高压能源反馈式负载系统成功交付中电熊猫
- ...· 中电瑞华国际在电动汽车及关键部件测评研讨会上演绎先进测评技术
- ...· 华芯微国产汽车芯片门电路系列(篇一)
- ...· 华芯微国产汽车芯片CAN收发器系列(篇一)
- ...· 华芯微国产汽车芯片DC/DC转换器系列
- ...· 华芯微国产汽车芯片DC/DC转换器系列
- ...· 华芯微国产汽车芯片运算放大器系列(篇一)
- ...· 华芯微国产汽车芯片MOSFET 驱动器系列(篇一)
- ...· 数据采集终端系统设备
- ...· 简仪科技踏上新征程








