电流转电压的实现方法
介绍几种I/V变换的实现方法:
分压器方法
利用如图1分压电路,将电流通入电阻。在电阻上采样出电压信号。其中,可以使用电位器调节输出电压的大小。这种方法较简单,但需要考虑功率和放大倍数的选择问题。

霍尔传感器方法
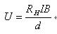
使用霍尔效应,在元件两端通过电流I,并在元件垂直方向上施加磁感应强度B的磁场,即会输出电压。由下面的公式获得线性关系。
其中,RH为霍尔常数,I为输入电流,B为磁感应强度,d为霍尔元件厚度。
这种方法多用于对电流的测量,虽然也可以实现转换,但是精度有限。
积分电路方法
电压可以看作是电流的积分,利用如图电路有:

为保证精度,选取运放时尽量找输入阻抗大的。该电路常用于PID调节,积分电路成熟且放大倍数和精度较好。但要注意这种电路输出电压和输入电流的相位是相反的。
运放直接搭接的方法(跨阻放大器)
充分利用运放“虚短”和“虚断”的概念,将电流转换为电压信号,如图电路

电流通过电阻,在电阻上产生压降,建立起电压和电流的关系为
这种方法避免了运放输入失调电压和输入偏置电流和失调电流影响带来的积分误差。也避免了电容的漏电流带来的误差。但未获得稳定的高精度放大,对电阻和运放的精度要求较高。
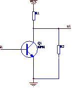
三极管方法
三极管同样具有放大能力,但应用上多采用运放。电路如图

下面以实际的例子叙述整个实现过程。
尝试将一个0~5A信号转换为0~5V信号。较简单的是加一个1欧的电阻,但这样发热功率过大,所以需要采用电流互感器将原先的电流变小。按照一般互感器指标是输入0~10A信号,变比为200:1,即0~5A的信号变为0~25mA。下面采用运放直接搭接的方法实现转换。考虑到相位的问题,对电路作了改进。利用50欧电阻在正端产生的电压与负端相等的条件,并利用运放的放大功能,实现较终要求的。如图。另外,用集成运放OP27为的是得到更高的运算精度;50欧的电阻是前端互感器带负载要求。

相关阅读:
- ...· Efinix® 全力驱动AI边缘计算,成功推出Trion™ T20 FPGA样品, 同时将产品扩展到二十万逻辑单元的T200 FPGA
- ...· 英飞凌亮相进博会,引领智慧新生活
- ...· 三电产品开发及测试研讨会北汽新能源专场成功举行
- ...· Manz亚智科技跨入半导体领域 为面板级扇出型封装提供化学湿制程、涂布及激光应用等生产设备解决方案
- ...· 中电瑞华BITRODE动力电池测试系统顺利交付北汽新能源
- ...· 中电瑞华FTF系列电池测试系统中标北京新能源汽车股份有限公司
- ...· 中电瑞华大功率高压能源反馈式负载系统成功交付中电熊猫
- ...· 中电瑞华国际在电动汽车及关键部件测评研讨会上演绎先进测评技术
- ...· 华芯微国产汽车芯片门电路系列(篇一)
- ...· 华芯微国产汽车芯片CAN收发器系列(篇一)
- ...· 华芯微国产汽车芯片DC/DC转换器系列
- ...· 华芯微国产汽车芯片DC/DC转换器系列
- ...· 华芯微国产汽车芯片运算放大器系列(篇一)
- ...· 华芯微国产汽车芯片MOSFET 驱动器系列(篇一)
- ...· 数据采集终端系统设备
- ...· 简仪科技踏上新征程








