低频超声透皮仪设计方案
单片机作为智能控制芯片,在电子信息、自动控制的各个领域发挥着极其重要的作用。医疗仪器的设计和研制也越来越多应用单片机技术,使其朝着智能化,小型化方向发展。综合考虑各种因素,在此介绍了一种采用高性能单片机C8051F340作为核心控制芯片的输频率、强度等可调,可控恒温的低频超声波促透皮系统。
1 硬件设计
该系统包括:温度测控模块、功率超声发生器、恒温控制模块、过流保护模块、显示模块和掉电存储模块。总体结构如图1所示。

系统各部分的工作是由高性能单片机C8051F340来进行控制协调的。它是整个系统的核心。C8051F340单片机是集成在一块芯片上的混合系统级单片机。具有与8051指令集完全兼容的CIP-51内核,采用了流水线指令结构,其运行速度较高可达48 MIPS,与标准的8051相比,在相同时钟下单周期指令运行速度为原来的12倍。并且,它在一个芯片内集成了构成一个单片机数据采集或控制系统所需要的功能部件;模拟多路选择器、可编程增益放大器、ADC、电压比较器、电压基准、温度传感器、SMBus/I2C、UART、SPI、USB可编程计数器 /定时器阵列(PCA)、定时器、I/O端口、内部振荡器、看门狗定时器及电源监视器等几乎所有模拟和数字外设及其他功能部件。通过对C8051F340 的编程,可以实现多种功能。
该系统利用键盘输入电路获得操作人员对各部分工作条件的要求,根据这些要求对加热丝以及超声发射进行设置,同时在每次测控过程中将各部分的温度值送LCD进行显示,并进行越限判断,在温度越限时启动报警电路发出报警。对温度的控制采用调功方式控制电炉丝加热使得实验过程中保持温度恒定,包括温度的读取、温度值的处理及输出信号驱动负载。
1.1 温度测控模块
该系统温度传感器采用PT100铂电阻温度传感器,它具有线性度好,测量范围宽,灵敏度高,无需参考点等优点。利用铂电阻的温度电阻特性,将温度信号直接转化为电信号。然后经过前置放大后送入到单片机内12位开关电容逐次逼近型A/D转化器,完成模/数转换。在电子测量系统中,需要检测大量的电量或非电量信息,而且检测的电信号又非常的微弱,极易受到干扰。因此,对前置级获取信号的放大,提出如下要求:高输入阻抗、高共模抑制比、低漂移、低噪声、低输出电阻等参数要求。基于以上原则前置放大器选用美国BURR-BROWN公司生产的低电压通用型双通道仪表放大器INA2128,它除了满足以上要求外,并可用一个外部电阻方便地从1~100 000设定增益,使得INA2128能够广泛应用于信号采集放大。医用仪器及多通道系统等很多领域,可以在低至的+2.25 V电源电压下工作,并且静态工作电流很少。它与Pt100构成的温度检测和前置放大如图2所示。

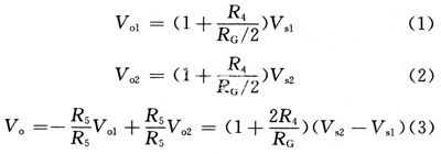
INA2128内部是由过压保护电路和三运放组成的性能优越的测量放大器;A1和A2组成双端输入/双端输出的差动放大器,由于信号从两个同相端输入,使输入阻抗高大10 MΩ以上。第二级又采用差动输入,在运放参数和R5严格对称时,电路具有很高的共模抑制能力和低温漂。

上式表明:该电路可以通过调节RG进行增益的控制。1.2 超声波产生控制模块
超声波产生模块主要是由PWM驱动电路、半桥式逆变电路和阻抗匹配电路三部分组成。电路的作用是将直流电流变成超生波振荡电流,并通过阻抗匹配网络激励换能器产生相同频率的弹性振动。该系统中驱动电路采用芯片IR2112来实现。IR2112是IR公司生产的大功率MOSFET、和IGBT专用集成驱动电路。该芯片具有两个独立的高低端通道,其中高端通道可采用自举电路,较高可承受500 V电压。两通道输出的电压范围为10~20 V,IR2112逻辑电源和功率电源即可以相互独立也可以共用一个电源。其工作频率较高可达500 kHz,关断和延迟时间很短。IR2112输出采用图腾柱结构,较大输出电流可达2 A。
如图3所示,用功率MOSFET构成PWM逆变器,用单片机作为信号源,产生频率为20~38 kHz的方波、2.5~3 W/cm2的功率;阻抗匹配使超声电源向换能器负载实现较大功率传输。图3中VD1,C1为自举二极管和自举电容,VD1必须使用与功率开关管相同耐压等级的快恢复二极管,自举电容设计也至关重要,C1的耐压比功率器件充分导通时所需的驱动电压(典型值为10 V)高。若在C1的充电路径上有1.5 V的压降,且假定有一半的栅压因泄露而降低,则自举电容C1可按式(4)来选取:

式中:Qg为MOSFET的门极电荷。
工程应用上一般取C1>2Qg/(VCC-10-1.5),且应选取容量稳定,耐脉冲电流的无感电容。

低频超声透皮仪中的超声波驱动电路
而控制电路主要由单片机系统和驱动电路组成。单片机系统通过自身的PWM驱动电路产生频率为28 kHz的方波,并将该信号送入IR2112驱动电路进行隔离放大后推动功率MOSFET工作。用半桥式逆变开关电路作为超声波发生器的功放电路,MOSFET1、MOSFET2轮流导通,在变压器的副边可以得到一个交变的激励信号,从而实现逆变的功能。而由R3,C4,D1构成的吸收电路,吸收了功率开关引入的尖峰脉冲,保护功率开关管。
阻抗匹配网络的设计目的是经过半桥逆变得到的功率较大限度的转化为超声波换能器的能量和确保电路工作稳定。同时为了防止系统发生故障时对人体造成危害和损坏功率MOSFET器件,在系统中加入了过流保护电路。
2 软件设计
程序设计采用基于C语言的模块化程序设计的方案,具有可维护性高、升级方便。整个程序分为:主程序、温度闭环控制程序(PID)、PWM产生程序、键盘及LCD显示程序、E2PROM读写程序,软件流程图如图4所示。

主要程序包括:数据处理,采样温度数据,并进行上下限报警和处理;PID计算,对偏差进行PID算法处理,并输出控制脉冲信号,脉冲宽度由T0定时器决定;晶闸管导通控制,利用PID计算得出的控制脉冲信号来控制晶闸管的通断比,从而实现对温度的恒温控制;液晶的显示和键盘扫描和处理程序。
3 结 语
该系统通过控制温度、频率和强度等多种因素来促进经皮给药的渗透性。同时,与单片机结合组成的嵌入式系统使医疗仪器智能化、多功能化、小型化。并且,这里介绍的基于高性能单片机C8051F340的透皮给药系统还可实现过流保护、恒温闭环控制、工作模式可选、输出全调、LCD动态显示、掉电保护等功能。
相关阅读:
- ...· Efinix® 全力驱动AI边缘计算,成功推出Trion™ T20 FPGA样品, 同时将产品扩展到二十万逻辑单元的T200 FPGA
- ...· 英飞凌亮相进博会,引领智慧新生活
- ...· 三电产品开发及测试研讨会北汽新能源专场成功举行
- ...· Manz亚智科技跨入半导体领域 为面板级扇出型封装提供化学湿制程、涂布及激光应用等生产设备解决方案
- ...· 中电瑞华BITRODE动力电池测试系统顺利交付北汽新能源
- ...· 中电瑞华FTF系列电池测试系统中标北京新能源汽车股份有限公司
- ...· 中电瑞华大功率高压能源反馈式负载系统成功交付中电熊猫
- ...· 中电瑞华国际在电动汽车及关键部件测评研讨会上演绎先进测评技术
- ...· 华芯微国产汽车芯片门电路系列(篇一)
- ...· 华芯微国产汽车芯片CAN收发器系列(篇一)
- ...· 华芯微国产汽车芯片DC/DC转换器系列
- ...· 华芯微国产汽车芯片DC/DC转换器系列
- ...· 华芯微国产汽车芯片运算放大器系列(篇一)
- ...· 华芯微国产汽车芯片MOSFET 驱动器系列(篇一)
- ...· 数据采集终端系统设备
- ...· 简仪科技踏上新征程








