一种应用于DVB-RCS卫星通信系统的存储优化带宽请求算法
摘 要: DVB-RCS卫星通信系统中,已有的带宽请求算法多注重于队列延迟以及带宽利用率等性能的提高而未考虑卫星终端的存储优化针对此问题,提出了一种应用于DVB-RCS卫星通信系统的存储优化带宽请求算法,该算法通过预测到达数据流的容量来实现对发送队列中数据总量的控制,同时兼顾对传输时延以及传输效率的平衡。仿真表明,该算法能够合理控制系统的存储容量,并且在优化带宽利用率、控制时延抖动等方面与已有算法相比具有同样的高性能。
关键词: 带宽请求算法; DVB-RCS; 存储优化
卫星通信具有内在的覆盖范围广、以广播和组播多模式工作的特性,使其能够提供高速因特网连接和多媒体数据远距离传输。由于IP技术在因特网中起着不可替代的主导作用,基于卫星通信的IP数据传输近年来得到了广泛深入的研究。另一方面,欧洲电信标准协会(ETSI)为数字电视广播制订的DVB-S和DVB-RCS标准使得采用经济的卫星地面终端实现交互式卫星通信成为可能。因此,基于IP网络的多样化、交互式业务传输是卫星通信发展的重要方向之一。
在卫星通信交互式应用中,前向信道采用广播模式,不存在媒体接入控制的问题,而回传信道被大量用户终端所共用,这必然要采用媒体接入控制技术。DVB-RCS标准即定义了回传信道在物理层和媒体接入控制层的各项基本规范。该标准采用了MF-TDMA技术来实现多址接入,将回传信道的带宽分配给多个用户终端使用。但标准本身并未规定系统所采用的具体BoD(Bandwidth on Demand)技术,即带宽分配算法(BAA)和带宽请求算法(BRA)。
本文研究了DVB-RCS系统中的带宽请求算法。所谓带宽请求是指卫星终端根据本地待发送的数据量,向网络控制中心(NCC)发起使用一定大小带宽的请求,并在收到NCC的带宽分配方案后,按照方案使用指定大小的带宽传输本地数据。带宽请求算法对于回传信道的带宽使用效率、数据传输延迟等系统性能都具有关键性作用。分析目前已有的带宽请求算法,其思路大致可分为以下三类:
(1) 仅基于MAC队列的长度以及当前时刻的数据输入速率来计算需要请求的带宽大小[1-2]。
(2) 使用高层协议的队列信息(如IP层的传输队列)来指导带宽申请。这种思想导致了一种跨层的带宽请求,有望给系统带来效率上的提高,但目前仍未有成熟可靠的算法见于公开文献。
(3) 存储过去时刻的带宽请求和带宽分配情况,再结合当前队列状态,预测在下一个时间段内到达的数据量,基于此计算带宽请求[3-4]。
已有的带宽请求算法主要考虑提高回传信道的带宽效率和降低数据传输延迟,但大部分算法并未考虑对MAC队列长度的控制,而MAC队列长度影响系统存储容量的大小,该参数在某些应用场合具有十分重要的意义。参考文献[4]首次考虑了对MAC队列长度的控制问题,并提出了一个MAC队列长度可控的带宽请求算法,但该算法在队列初始长度控制和队列长度抖动控制方面仍有不足之处。本文提出了一种新的针对存储容量优化的带宽请求算法(MCI-BRA),该算法在保证系统带宽、使用效率和数据传输延迟要求的前提下,能够对MAC队列长度进行合理控制,从而达到控制终端存储容量的目的。
1 系统模型
本文考虑如图1所示的DVB-RCS卫星通信系统。在该系统中,地面终端(RCST 1, 2, … , n)通过一颗GEO卫星实现对因特网的访问。卫星网络通过网关接入因特网,NCC与网关驻留在同一个地面站。每个RCST不一定只为一个用户提供因特网连接,也可以对本地的一个或多个局域网提供因特网连接。带宽请求即发生在每个RCST当中。

DVB-RCS标准提供了5种带宽请求:
(1) CRA(Continuous Rate Allocation)对该类请求必须在每个超帧满足其所有带宽需要;
(2) RBDC(Rate Based Dynamic Capacity)该类请求以指定码率的方式提出带宽需求;
(3) VBDC (Volume Based Dynamic Capacity)该类请求以指定容量的方式提出带宽需求;
(4) AVBDC (Absolute Volume Based Dynamic Capacity)该类请求以指定容量的方式提出带宽需求,与VBDC不同之处在于AVBDC提出的请求将覆盖前一次的请求,而VBDC请求为累加性质;
(5) FCA (Free Capacity Assignment)该类请求没有码率以及容量方面的要求,NCC直接将空闲带宽以某种方式分配给各个RCST,而不需要RCST再提出该类请求。
在上述5种带宽请求方式中,CRA属于一种静态的请求方式,而FCA并不要求保证一定的码率或者容量,AVBDC则属于VBDC的一种特殊情况,因此真正需要考虑动态分配带宽的类型为RBDC和VBDC两种。实际上,在传输速率、编码方式等一定的情况下,RBDC与VBDC请求是可以互换的。
DVB-RCS的这种分类方法与上层IP数据流的分类方法必须要有一个映射关系,本文采用了参考文献[3]中提出的一种映射结构,如图2所示。实时数据流在IP层被划分到EF流中,在MAC层则依据一定的算法分为CRA和RBDC两部分;非实时数据流在IP层被划分至AF和BE两类,在MAC层则被划分到RBDC和VBDC当中。本文主要针对RBDC/VBDC两类请求研究合理的带宽请求算法,在DVB-RCS中也就是在每个超帧中申请一定数量的业务时隙。

2 带宽请求算法
本文提出的带宽请求算法的基本思想是:通过提取数据包进入MAC队列的统计特征,可以对即将到来的一个时段内到达MAC队列的数据包的个数进行预测,通过该预测值进一步计算当前时刻应申请的时隙数,该时隙数的计算应尽可能保证MAC队列中缓存的数据包的个数维持在某个事先设定的值。
本算法以下列假设为前提:
(1) 每个数据包为一个ATM cell,即53B,每个时隙传输一个ATM cell。本条假设在多个实际系统中均成立。
(2) 数据包的到达具有一定的概率模式,即数据包到达的量是可以被预测的。对于目前因特网中出现的各种业务数据流,其概率模型已逐步被人们所认识,参考文献[5]中给出了多种类型数据流的概率模型。因此,本条假设在因特网传输的大量业务类型中均成立。
(3) NCC对于接收到的带宽请求全部给予分配,实际上这种情况仅当系统未发生阻塞时才成立,但对于阻塞的处理需要考虑一定的阻塞算法,而这不在本文涉及内容之内。此外,本文提出的算法在系统发生阻塞时,仍能对MAC队列长度起到控制作用。
系统的带宽请求与分配过程如图3所示。

图3中,以水平方向为时间轴,RCST以恒定时间间隔发出带宽请求。在t0时刻,RCST发出请求rr[k],该次请求经过时间δ到达NCC,故δ即为一个RTD(Round-Trip Delay),典型值为500ms。在t1时刻,RCST发出请求rr[k+1],因此,RCST的请求发送间隔为:

在t2时刻,NCC发回对rr[k]的分配结果al[k],RCST在t3时刻收到该次分配,并在下一个超帧内使用该次分配指定的时隙。定义调度延迟μ为RCST发出某次请求到收到该次请求的分配结果之间的时间间隔,即:

基于此,本文提出带宽请求算法如(3)式所示:

(3)式中,rr[k]为第k次申请的时隙数,q[k]为当前MAC队列长度,s[k]为下一个超帧将要占用的时隙数,p[k]为第k次到第k+1次申请之间到达队列的数据包数的预测值,参数?茁用于控制队列长度。

在(3)中,q[k]、rr[k-i]、s[k]均可以直接得到,对于p[k]的计算需要考虑数据包到达MAC队列的统计特性来确定。
在参考文献[5]中给出了视频流、Web请求数据流等因特网上典型数据模式的分析。分析表明,大量的数据流在到达时间间隔上服从负指数分布,即数据包到达过程服从泊松分布。因此本文考虑数据包到达过程为泊松过程的情况,即时间间隔?子内到达队列的数据包数满足:

其概率分布如图4所示,由此可知在时间间隔τ之内,到达λ个数据包的概率较大,因此对于泊松分布而言,在(3)式中:


对于其他模式的到达过程,可以用类似的方法预测固定时间间隔内到达的数据包数。
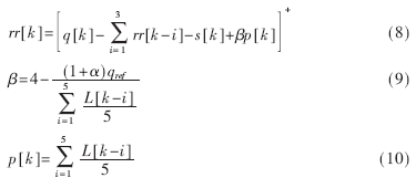
参考文献[4]中提出的带宽请求算法记为Alg-I,如式(8)、(9)、(10)所示。

其中,L[k]表示k到k+1这段时间间隔内实际到达的数据包数。
3 仿真结果
记本文提出的算法为MCI-BRA(Memory Cost Improved Bandwidth Request Algorithm),使用Matlab对Alg-I和MCI-BRA两种算法进行了仿真比较,仿真参数如表1所示,则在(3)式中,令N=3,可将(3)式重写为:


图5、图6、图7所示分别为不同数据包到达率情况下两种算法的平均队列长度、队列长度绝对偏差以及带宽利用率。从图中可以看出,当系统负荷低于75%(即600 cells/s)时,两种算法均能很好地将队列长度控制在预定的长度值,即200cells,与Alg-I相比,MCI-BRA在队列长度上稍有抖动,两种算法的带宽利用率均达到了100%;当系统负荷超过75%
相关阅读:
- ...· Efinix® 全力驱动AI边缘计算,成功推出Trion™ T20 FPGA样品, 同时将产品扩展到二十万逻辑单元的T200 FPGA
- ...· 英飞凌亮相进博会,引领智慧新生活
- ...· 三电产品开发及测试研讨会北汽新能源专场成功举行
- ...· Manz亚智科技跨入半导体领域 为面板级扇出型封装提供化学湿制程、涂布及激光应用等生产设备解决方案
- ...· 中电瑞华BITRODE动力电池测试系统顺利交付北汽新能源
- ...· 中电瑞华FTF系列电池测试系统中标北京新能源汽车股份有限公司
- ...· 中电瑞华大功率高压能源反馈式负载系统成功交付中电熊猫
- ...· 中电瑞华国际在电动汽车及关键部件测评研讨会上演绎先进测评技术
- ...· 华芯微国产汽车芯片门电路系列(篇一)
- ...· 华芯微国产汽车芯片CAN收发器系列(篇一)
- ...· 华芯微国产汽车芯片DC/DC转换器系列
- ...· 华芯微国产汽车芯片DC/DC转换器系列
- ...· 华芯微国产汽车芯片运算放大器系列(篇一)
- ...· 华芯微国产汽车芯片MOSFET 驱动器系列(篇一)
- ...· 数据采集终端系统设备
- ...· 简仪科技踏上新征程








