电源设计小贴士 18:您稳压器的输出电压精度或许并非如您所想的那样糟糕
虽然输出电压不断下降而稳压要求正变得越来越高,但是您的任务可能并非像其表面上看起来那么困难。即使必须要使用 1% 或更大的容差电阻来进行设计,但您仍然可以得到非常精确的输出电压。
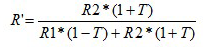
图 1 显示了一款典型的电源调节电路。输出被分流降压,并与参考电压进行比较。差异被放大,并用于驱动调节环路。乍一看,您可能会认为这一方案仅限于两倍电阻容差精度。幸运的是,实际并非如此;精度还是输出电压与参考电压之比的强函数。

图 1 输出精度是分压器比、基准精度和误差放大器补偿的函数
三种不同的情况可以非常容易地说明这一比率。第一种情况是假设一点分压也没有,换句话就是说输出电压等于参考电压。很明显,这种情况下没有电阻分压误差。第二种情况是假设输出电压大大高于参考电压。在这种情况下,R1 大于 R2。分压器误差是电阻容差的两倍,从而得到一个方向变化的 R1 值,以及往另一个方向变化的 R2 值。第三种易于说明的情况是假设输出电压是参考电压的两倍。在这种情况下,额定电阻值相等。因此,如果电阻容差以反方向变化,则分压器方程式顶部随着该容差值变化,而分母变为零。
图 2 显示了输出精度,其为参考电压与输出电压对比关系的函数。(详细推导过程请参见附录。)简化之后,分压器精度为 (1 – Vref/Vout)*2*容差,其与我们通过检查得到的三个数据点相关。我们对该方程式进行了一些简化处理,但对大多数电阻容差来说都应该足够精确。

图 2 输出精度很直观:(1-Vref/Vout)*2*容差(显示的 1% 电阻)
有趣的是,这样给低压输出带来了更高的精度。许多 IC 参考电压范围为 0.6~1.25 V 之间,输出电压降至这一范围时会带来 1% 或更高的精度。表 1 给出了您可能需要了解的一些信息,这些信息是典型电阻器产品说明书的电阻误差术语汇编。在设计中,该列表会较难理解。大多数工程师都止步于初始容差,然而列表中还有一些或许不应被忽略的误差项。表格中的每一项都有其微妙的影响。例如,没有指定具体的温度系数范围,而实际上两个电阻都可能随温度变化以相同方向变化,并且不会在相反的极端。在对一些经验丰富的设计工程师进行简单调查后,得出的结论是假设 1% 容差电阻的 2.5% 精度可在极端情况和合理成本之间得到一个合理的折中方案。
表 1 电阻容差可相加
误差源 典型值 和 备注 初始容差 1% 1% 一般 0.1%、0.5%、1% 或 5% 温度系数 0.5% 1.5% 70 摄氏度时一般为 0.2%~4% 使用寿命 1% 2.5% 额定功率条件下 1000 小时 焊接 1% 3.5% 260 摄氏度时 10 秒 低温运行 0.75% 4.25% -55 摄氏度条件下,1 小时 高温暴露 1% 5.25% 125 摄氏度条件下,100 小时 短时过载 2% 7.25% 2.5 x RCWV,5 秒 引出端强度 0.5% 7.75% 2mm 弯曲,10 秒 耐潮性 2% 9.75% Mil Std 202 标准 温度循环 0.5% 10.25% 温度冲击 0.2% 10.45% 50G,11ms 高频振动 0.2% 10.65% 10-2000Hz总之,提供较好的低压输出精度并非是一项令人畏惧的任务,因为低分压器比本身就较为精确。
下个月我们将讨论获得负电压的一种有趣的电源拓扑,敬请期待。
本文较后面列出了一些我撰写的其他《电源设计小贴士》文章。如欲了解本文章内容及其他电源解决方案的更多详情,敬请访问:www.ti.com.cn/power。
附件 - 求解计算顶部分压器电阻值,其为分压器比 (R) 的函数:

重写表达式为电阻容差 (T) 的函数:

代入 R1:

顶部和底部乘以 R/R2:

除以 R,然后减去 1,得到误差:

相关阅读:
- ...2015/07/17 17:10·安森美半导体论汽车电源设计挑战及考量
- ...2013/06/17 17:17·反激式转换器简化隔离式电源设计
- ...2012/07/04 16:44·基于模糊和PI控制的MIG焊接电源设计
- ...2012/04/18 16:39·电源设计小贴士 43:分立器件——一款可替代集成 MOSFET 驱动器的卓越解决方案
- ...2012/04/16 16:07·电源设计小贴士 42:可替代集成 MOSFET 的分立器件
- ...2012/01/13 14:34·电源设计,自己掌控
- ...· Efinix® 全力驱动AI边缘计算,成功推出Trion™ T20 FPGA样品, 同时将产品扩展到二十万逻辑单元的T200 FPGA
- ...· 英飞凌亮相进博会,引领智慧新生活
- ...· 三电产品开发及测试研讨会北汽新能源专场成功举行
- ...· Manz亚智科技跨入半导体领域 为面板级扇出型封装提供化学湿制程、涂布及激光应用等生产设备解决方案
- ...· 中电瑞华BITRODE动力电池测试系统顺利交付北汽新能源
- ...· 中电瑞华FTF系列电池测试系统中标北京新能源汽车股份有限公司
- ...· 中电瑞华大功率高压能源反馈式负载系统成功交付中电熊猫
- ...· 中电瑞华国际在电动汽车及关键部件测评研讨会上演绎先进测评技术
- ...· 华芯微国产汽车芯片门电路系列(篇一)
- ...· 华芯微国产汽车芯片CAN收发器系列(篇一)
- ...· 华芯微国产汽车芯片DC/DC转换器系列
- ...· 华芯微国产汽车芯片DC/DC转换器系列
- ...· 华芯微国产汽车芯片运算放大器系列(篇一)
- ...· 华芯微国产汽车芯片MOSFET 驱动器系列(篇一)
- ...· 数据采集终端系统设备
- ...· 简仪科技踏上新征程








