基于PWM的可控硅非线性调光LED驱动电路
引言
近年来,高亮度LED照明以高光效、长寿命、高可靠性和无污染等优点正在逐步取代白炽灯、荧光灯等传统光源。在一些应用中,希望在某些情况下可调节灯光的亮度,以便进一步节能和提供舒适的照明。常见的调光有双向可控硅调光、后沿调光、ON/OFF调光、遥控调光等。可控硅调光器在传统的白炽灯等调光照明应用已久,且不用改变接线,装置成本较低,各品牌可控硅调光器的性能和规格相差不大,但是其直接应用在LED驱动场合还存在着一系列问题。
1 双向可控硅TRIAC调光原理
市面上大多数可控硅调光器基本结构如图1所示,其工作原理如下:当交流电压加双向可控硅TRIAC两端时,由于Rt、Ct组成的RC充电电路有一个充电时间,电容上的电压是从0V开始充电的,并且TRIAC的驱动极串联有一个DIAC(双向触发二极管,一般是30V左右),因此TRIAC可靠截止。当Ct上的电压上升到30V时,DIAC触发导通,TRIAC可靠导通,此时TRIAC两端的电压瞬间变为零,Ct通过Rt迅速放电,当Ct电压跌落到30V以下时,DIAC截止,如果TRIAC通过的电流大于其维持电流则继续导通,如果低于其维持电流将会截止。电感L和电容C的作用是减小电流和电压的变化率,以抑制电磁干扰EMI问题。

可控硅前沿调光器若直接用于控制普通的LED驱动器,LED灯会产生闪烁,更不能实现宽范围的调光控制。原因归结如下:
(1)可控硅的维持电流问题。目前市面上的可控硅调光器功率等级不同,维持电流一般是7~75mA(驱动电流则是7~100mA),导通后流过可控硅的电流必须要大于这个值才能继续导通,否则会自行关断。
(2)阻抗匹配问题。当可控硅导通后,可控硅和驱动电路的阻抗都发生变化,且驱动电路由于有差模滤波电容的存在,呈容性阻抗,与可控硅调光器存在阻抗匹配的问题,因此在设计电路时一般需要使用较小的差模滤波电容。
(3)冲击电流问题。由于可控硅前沿斩波使得输入电压可能一直处于峰值附近,输入滤波电容将承受大的冲击电流,同时还可能使得可控硅意外截止,导致可控硅不断重启,所以一般需要在驱动器输入端串接电阻来减小冲击。
(4)导通角较小时LED会出现闪烁。当可控硅导通角较小时,由于此时输入电压和电流均较小,导致维持电流不够或者芯片供电Vcc不够,电路停止工作,使LED产生闪烁。
2 一种可控硅调光的LED驱动电源
线性调光存在的问题,即人眼在低亮度情况下对光线的细微变化很敏感;而在较亮时,由于人眼视觉的饱和,光线较大的变化却不易被察觉。并提出了利用单片机编程来实现调光信号和调光输出的非线性关系(如指数、平方等关系)的方法,使得人眼感觉的调光是一个线性平稳过程。
文中设计的电路利用RC充放电电路来实现这一功能。
图2是一种利用普通的脉宽调制PWM芯片结合外围电路来搭建可控硅调光的LED驱动电路框图。维持电流补偿电路通过检测R1端电压(即输入电流)来控制流过维持电流补偿电路的电流。当输入电流较小时,维持电流补偿电路上流过较大的电流;当输入电流较大时,维持电流补偿电路关断,维持电流补偿以恒流源的形式保证可控硅的维持电流。调光控制电路包括比较器、RC充放电电路和增益电路。实验中选用一款旋钮行程和斩波角成正比的可控硅调光器,其较小导通角约为30°。

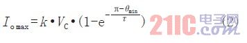
根据图2中,RC充放电电路的输出经过增益电路后可得电流参考为:

式中k为增益,VC为RC充放电电路的输入电压,τ为RC的时间系数,θ为可控硅的导通角。
则在较小导通角对应的输出为零,即电路输出的较大值对应电流参考的较大值:

从式(1)和式(2)可得输出电流表达式如式(3)所示,输出电流在不同RC时间系数下随可控硅导通角之间的关系如图3a)所示。

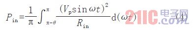
在斩波角为θ时,电路对应的输入功率为:

式中Vp为输入电压峰值,Rin为等效输入阻抗。
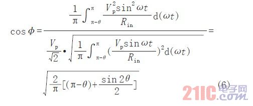
假设电路的变换效率为η,且电路的输出功率为PO=IO·UO,则可得到电路的等效输入阻抗如式(5)所示。

从式(5)可得电路的功率因数如式(6)所示,功率因数随可控硅的导通角的关系如图3b)所示。

3 实验及结果
根据以上分析,本文设计一台基于反激变换器的可控硅调光LED驱动器,控制芯片为NCP1607;输入交流电压220V,较大输出功率为25W,较大输出电流为0.7A;以3串(每串10只0.8W的LED灯)相并联作为负载;RC时间系数选择0.5,增益为0.2。电路的实验波形和工作特性曲线如图4所示。


图4a)、b)、c)为可控硅导通角为115°时阻抗匹配开关驱动电压VZ、输入电流Iin、输入电压Vin的波形,电路的输出电流为470mA,功率因数为0.78。从图中可看出,当可控硅导通瞬间,由于驱动器输入端有差模滤波电容导致输入电流有冲击电流尖峰,而当输入电流小于一定值时,阻抗匹配开关开通以保证流过可控硅的电流大于其维持电流。

图4d)为可控硅不同导通角对应的输出电流曲线,实际调试中可控硅导通角在150°之后就接近满载输出了。图4e)为可控硅在不同导通角下对应电路的cosφ曲线。
4 结语
本文分析了现有可控硅调光器用于LED驱动时存在的问题,并根据人眼对光线反应非线性的特点,设计了一种利用普通PWM芯片结合外围电路搭建的可控硅非线性调光LED驱动电路,分析了电路在调光过程中的工作特性,实验结果实现0~100%平稳无闪烁调光。
相关阅读:
- ...2015/02/12 15:10·基于PSO-LSSVM的城市时用水量预测
- ...2014/12/31 13:14·基于Petri网的自助行李托运传输控制策略
- ...2013/12/18 10:49·基于PCI-9846武器数据链测试技术的研究及实现
- ...2013/12/10 10:49·基于PCI-9846H的死区时间引起的电压波形畸变的研究
- ...2012/12/26 10:33·基于PCI-9846的变频器输出性能测试系统
- ...2012/04/27 10:12·基于PCAKFCM 的船舶柴油机故障诊断
- ...· Efinix® 全力驱动AI边缘计算,成功推出Trion™ T20 FPGA样品, 同时将产品扩展到二十万逻辑单元的T200 FPGA
- ...· 英飞凌亮相进博会,引领智慧新生活
- ...· 三电产品开发及测试研讨会北汽新能源专场成功举行
- ...· Manz亚智科技跨入半导体领域 为面板级扇出型封装提供化学湿制程、涂布及激光应用等生产设备解决方案
- ...· 中电瑞华BITRODE动力电池测试系统顺利交付北汽新能源
- ...· 中电瑞华FTF系列电池测试系统中标北京新能源汽车股份有限公司
- ...· 中电瑞华大功率高压能源反馈式负载系统成功交付中电熊猫
- ...· 中电瑞华国际在电动汽车及关键部件测评研讨会上演绎先进测评技术
- ...· 华芯微国产汽车芯片门电路系列(篇一)
- ...· 华芯微国产汽车芯片CAN收发器系列(篇一)
- ...· 华芯微国产汽车芯片DC/DC转换器系列
- ...· 华芯微国产汽车芯片DC/DC转换器系列
- ...· 华芯微国产汽车芯片运算放大器系列(篇一)
- ...· 华芯微国产汽车芯片MOSFET 驱动器系列(篇一)
- ...· 数据采集终端系统设备
- ...· 简仪科技踏上新征程








