Buck电路中分析开关电源纹波抑制
由于开关电源体积小,输出直流电压的纹波含量比同功率线性电源大,如何降低纹波含量成为开关电源应用及制造技术中的一个关键技术难点。本文通过对Buck电路的分析,找出对纹波的产生有影响的因素及改善的措施。
1 纹波的定义
Buck类型开关电源的拓扑结构如图1所示。

通常情况下,开关电源首先把电网电压全波整流变为直流电,经高频开关变换由变压器降压,经高频二极管整流滤波后,得到稳定的直流电压输出。其自身含有大量的谐波干扰,同时由于变压器的漏感和输出二极管的反向恢复电流造成的尖峰都形成了电磁干扰源,这些尖峰就是输出纹波。输出纹波主要来源于4个方面:低频纹波、高频纹波、共模纹波、功率器件开关过程中产生的超高频谐振等。
2 Buck电路产生纹波的机理及计算
2.1 纹波电流计算
电感的定义:

λ为线圈磁链;N为线圈匝数;i为流经线圈的电流;Φ为线圈磁通。如果式(1)两端以时间t为变量进行微分计算,可得:

这便是大家所熟知的电感电压降回路方程。
现在假设对于每个单独的开关周期,在开关管导通状态和关断状态,输入输出电压都基本没有变化,可以写出导通状态和关断状态时的L两端的电压。
导通状态L两端的电压:
关断状态L两端的电压:
Vsat为开关管的导通压降;VF为二极管的导通压降。
由于Vsat和VF相对于Vi和Vo很小,这里忽略不计,可以得到:

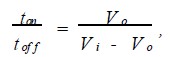
可以看出Von和Voff都是常数,即对于
,不论在导通状态还是在关断状态都有:

为常数,所以可以用
替换
,代入式(4)并整理得:
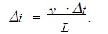
可以认为Δi就是电感线圈中的纹波电流,将导通和关断状态时的时间和电压式(2)和式(3)代入上式,分别写出导通状态和关断状态时的纹波电流表达式:

Δion为导通状态纹波电流;ton为导通时间;Δioff为关断状态纹波电流;toff为关断时间。
在电源稳定工作时,
ΔiL为线圈上纹波电流的绝对值。将式(5)和式(6)代入式(7),整理得:

进而得出:

fs为开关频率。
将式(8)代入式(5),得:

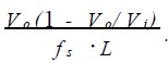
式(9)即为纹波电流的表达式。2.2 纹波电压计算
注意到在输出部分,电感电流在电容C和负载之间分割,有:
设在稳态下,输出到负载的电流不变。所以有:
这也是一种近似,因为就算是负载恒定不变,由于电压纹波的影响,电流也会改变的,但由于这个变化量和ΔiL相比很小,所以在此忽略。如果不忽略,也可以推导出更复杂的表达式。ΔiC加之于C就会产生纹波电压。
首先计算第一部分。当ΔiC流过理想电容C时,在C两端产生的电压变化:
取积分下限为ton/2,积分上限为toff/2,计算积分得:

计算第二部分,对于一般电容,都具有串联等效电感和串联等效电阻(其实还有并联等效绝缘电阻)。串联等效电感只在较高频率时起作用,在分析开关频率时可以将其忽略,但必须考虑的是串联等效电阻ESR.电流ΔiC流过ESR时,会在ESR两端产生电压降,其值为:
ΔVESR也会作为纹波的一部分表现在输出端上,所以总的纹波表达式为式(10)和式(11)的和,即:

Vro为总纹波;ESR为C的等效串联电阻。
式(12)即是Buck类型开关电源的纹波电压的近似表达式,其中的每个变量都是影响纹波的因素,调整这些变量就是调整纹波的主要方法。
3 影响纹波的因素分析及抑制措施
根据式(12),逐一分析影响纹波电压的因素

1)首先观察括号内的因素:试取一个典型的值计算一下,如fs=300kHz,C=470μF,可知为

尽管对于ESR的计算要考虑很多因素,一般情况下,电解电容和若干陶瓷电容并联后的等效电阻ESR在十几到几十mΩ之间,由此可见ESR是纹波产生的主要因素,并且C取值的增加不会显着改变纹波。
2)其次观察等式右边的前半部分

如果L或者fs增大,则Vro变小,可以减小纹波,即增大电感的值和提高开关频率可以降低纹波。
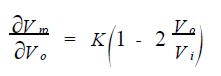
3)较容易忽略的是输出电压和纹波的关系。考察Vo对Vro的变化率。
在所有其他因素都不改变的条件下,将Vro对Vo求导,可得:

其中:

令

有
,此时电源输出的纹波较大。
Vo无论大于还是小于这个值,纹波都将减小。由该规律可以推算输出电压调整的电源模块的纹波。
4)在实际工作中,一切可以调整的因素都是
相关阅读:
- ...2014/12/22 13:47·为 Fly-Buck 转换器选择正确的匝数比
- ...2011/10/14 15:53·有源纹波补偿BUCK型LED驱动电路设计
- ...2011/05/20 10:41·Supercap Charger Plus a 5V at 4A DC/DC Buck Converter from 5.5V to 30V Input
- ...· Efinix® 全力驱动AI边缘计算,成功推出Trion™ T20 FPGA样品, 同时将产品扩展到二十万逻辑单元的T200 FPGA
- ...· 英飞凌亮相进博会,引领智慧新生活
- ...· 三电产品开发及测试研讨会北汽新能源专场成功举行
- ...· Manz亚智科技跨入半导体领域 为面板级扇出型封装提供化学湿制程、涂布及激光应用等生产设备解决方案
- ...· 中电瑞华BITRODE动力电池测试系统顺利交付北汽新能源
- ...· 中电瑞华FTF系列电池测试系统中标北京新能源汽车股份有限公司
- ...· 中电瑞华大功率高压能源反馈式负载系统成功交付中电熊猫
- ...· 中电瑞华国际在电动汽车及关键部件测评研讨会上演绎先进测评技术
- ...· 华芯微国产汽车芯片门电路系列(篇一)
- ...· 华芯微国产汽车芯片CAN收发器系列(篇一)
- ...· 华芯微国产汽车芯片DC/DC转换器系列
- ...· 华芯微国产汽车芯片DC/DC转换器系列
- ...· 华芯微国产汽车芯片运算放大器系列(篇一)
- ...· 华芯微国产汽车芯片MOSFET 驱动器系列(篇一)
- ...· 数据采集终端系统设备
- ...· 简仪科技踏上新征程








