基于FPGA的FIR数字滤波器的优化设计
1 FIR滤波器的基本原理
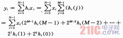
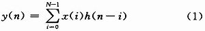
一个L阶的FIR数字滤波器的基本系统函数见式(1):
![]()
式中:h(n)表示滤波器的系数;x(i)表示带有时间延迟的输入序列,此表达式对应的直接型实现结构可用图1来表示。

可以看出,FIR滤波器是由一个“抽头延迟线”加法器和乘法器的集合构成的。传给每个乘法器的操作数就是一个FIR系数。对每次采样x(n)要进行N次连续的乘法和(N-1)次加法操作,因实际中滤波器的阶数都很高,实现高数据吞吐率就需要很多的硬件乘法器,硬件实现时将占用大量的资源,同时也会因此影响滤波器的速度和性能。为了解决这个问题,人们从多个角度寻求优化方法。从数字滤波器表达式看,对它
的优化操作,实际较终转换成两类改进。一类是针对输入xi的DA操作的改进;另一类是针对系数hi编码的操作。
2 DA算法
分布式算法(Distributed Arithmetic,DA)是为了解决乘法资源问题而提出的经典优化算法这种算法结构,可以有效地将乘法运算转换成基于查找表LUT(Look Up Table)的加法运算,利用查表方法快速得到部分积。
对于低阶而言,由于LUT表地址空间较小,与传统算法相比,分布式算法可极大地减少硬件电路的规模,提高电路的执行速度。然而当FIR滤波器阶数很高时,作为查找表的ROM将很大。阶数每增加1位,ROM容量就增加1倍,这种以2的幂次递增的资源占用是硬件资源不可接受的。因而在滤波器系数较高时,为了减小查找表的规模,常采用一定的方法将大LUT分割为一些小的LUT的方法。如滤波器的多相分解结构、多路复用器和加法器替代查找表的算法等。
3 CSD编码算法
常数乘法可以通过“移位-加”来完成,而乘数中“1”的个数决定了“加”操作的次数,当然“1”的个数越少越好,正则有符号数字量CSD(Canonic Signed Digit)编码就可以实现“1”的个数的较小化。
3.1 CSD编码
与传统的二进制编码的二值表示法不同,CSD编码的数字值域为0,1和-1。-1常表示成1。这种编码是具有较少非零元素的一种表示法,用CSD编码表示数字的形式具有惟一性。在实际硬件电路中可以采用如下原则生成较佳CSD编码:
①从较低有效位开始,用10…0
取代所有大于2的1序列,此外还需要用110
取代1011;
②从较高有效位开始,用011代替10
。
较佳CSD编码的特点是:
①在一个CSD数据里,没有两个连续的非零位;
②对同一个数字的CSD编码是独一无二的;
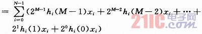
基于CSD编码,可以将式(1)做以下的变化:


从以上式子可看出,应用CSD表示法,由于可以降低系数中非零元素的数量,因而在运算中能减少加法的次数,有利于提高运算速度和减少资源的占用。
3.2 较佳CSD编码设计与结果
根据前面所列举的较佳CSD编码方法,用C语言生成较佳CSD编码,部分伪代码如下:

③是数字表示法里,所含非零位数较少,相比于二进制补码系统平均减少33%的非零项。
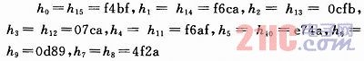
测试实验数据及结果如图2所示。在本C语言程序中用X来指代码,输入数据为16位。

4 实例设计过程与仿真
4.1 FIR系数提取
利用Matlab中Fdatlool设计一个16阶低通FIR滤波器,各项性能指标为:采用频率fs=48 kHz,截止频率fstop=12 kHz,通带宽度fpass=9.6 kHz。系数数据宽度为16位;输出数据宽度是16位。为了便于FIR滤波器的FPGA实现,减小误差,将Fdatlool提取的滤波器的系数量化取整后为:

4.2 系数的CSD转换
读入量化系数,进行CSD转换操作,生成CSD码,表1是部分量化后的系数及对应的CSD数。

4.3 FIR滤波器实现结构
采用转置形式的FIR滤波器结构,此结构和直接型结构不同的是,输入信号X『n』是同时分别和滤波器系数向量相乘,不需要通过不同的延时单元再和相对应的滤波器系数相乘。这种结构较大的优点是工作频率较高,图3给出了采用CSD编码算法的设计流程图。

4.4 FPGA实现与仿真
参照图3中给出的设计流程,使用VHDL语言实现了该常系数滤波器的行为描述,图4是滤波器的实现顶层图。FPGA采用AItera公司的EPF 10K40芯片,该芯片较高的单路运行速率为200 MHz。图5是在MaxPIusⅡ中的仿真结果。表2给出了EPF10K40的一些资源占用情况。

5 基于FPGA的FIR试验结果
为验证本文提出的算法的普遍性,以并行DA和2C编码方式设计了一系列阶数从16到256阶的FIR滤波器,滤波器在Altera公司的开发软件MaxPlusⅡ中进行编译和布局布线,采用的目标器件为EPF10K40芯片,在系统中对3种实现结构进行测试,测试数据位宽为8位。通过表3的比较结果可以看出,使用CSD编码,资源耗用明显下降。当FIR阶数很高,系数很复杂时,CSD编码的优势会更加显著。表4给出了N=64时DA算法和CSD算法的具体性能指标,从结果来看,CSD编码相对于单纯的DA在系统资源和整个系统延迟上有明显的提高。

6 结语
滤波器用VHDL硬件描述语言实现,采用Altera公司的EPF10K40芯片,在MaxPlusⅡ中进行了仿真验证。从结果来看,文中所提出的CSD编码算法,具有一定的研究价值和实用价值,CSD编码在处理序列较多的情况下,在资源占用、速度处理方面的效果尤为明显。采用CSD编码方式对FIR滤波器进行优化设计,可减少FIR实现的FPGA资源消耗。
相关阅读:
- ...2012/03/31 10:53·基于FPGA的射频读卡器设计
- ...2011/12/02 16:57·基于FPGA直接序列扩频系统的设计
- ...2011/11/07 15:11·基于FPGA的高速串行传输系统的设计与实现
- ...2011/11/07 15:10·基于FPGA的通用异步收发器设计
- ...2011/11/07 15:10·基于FPGA的远距离测温器数控系统设计
- ...2011/10/31 16:02·基于FPGA的数据采集系统设计
- ...· Efinix® 全力驱动AI边缘计算,成功推出Trion™ T20 FPGA样品, 同时将产品扩展到二十万逻辑单元的T200 FPGA
- ...· 英飞凌亮相进博会,引领智慧新生活
- ...· 三电产品开发及测试研讨会北汽新能源专场成功举行
- ...· Manz亚智科技跨入半导体领域 为面板级扇出型封装提供化学湿制程、涂布及激光应用等生产设备解决方案
- ...· 中电瑞华BITRODE动力电池测试系统顺利交付北汽新能源
- ...· 中电瑞华FTF系列电池测试系统中标北京新能源汽车股份有限公司
- ...· 中电瑞华大功率高压能源反馈式负载系统成功交付中电熊猫
- ...· 中电瑞华国际在电动汽车及关键部件测评研讨会上演绎先进测评技术
- ...· 华芯微国产汽车芯片门电路系列(篇一)
- ...· 华芯微国产汽车芯片CAN收发器系列(篇一)
- ...· 华芯微国产汽车芯片DC/DC转换器系列
- ...· 华芯微国产汽车芯片DC/DC转换器系列
- ...· 华芯微国产汽车芯片运算放大器系列(篇一)
- ...· 华芯微国产汽车芯片MOSFET 驱动器系列(篇一)
- ...· 数据采集终端系统设备
- ...· 简仪科技踏上新征程








